O circuito retificador de meia onda é composto por um único diodo acoplado na saída de um transformador. Graças a essa configuração, após a passagem pelo diodo, observam-se somente semiciclos positivos, pois durante o semiciclo negativo a tensão na carga é nula.
Quando a tensão de entrada (Ve) for positiva, o diodo conduzirá e a tensão na carga será igual à tensão de entrada descontando 0,7 V. Se a tensão de pico de entrada (VP) for muito maior que 0,7 V, a tensão na carga será praticamente igual a Ve. No semiciclo negativo (Ve< 0), o diodo estará cortado e toda a tensão estará aplicada entre seus terminais; por isso, o diodo deve ter uma tensão de ruptura maior que VP. A figura apresenta situações do circuito e formas de onda.
A função de um retificador é manter uma tensão contínua na saída. A tensão na carga tem um componente contínuo, aqui denominado VCC (VDC, em inglês), que se calcula por:
Obs.: a tensão média (VCC) é medida por um voltímetro CC.
![]() |
| (a) Circuito retificador de meia onda; (b) circuito equivalente no semiciclo positivo; (c) circuito equivalente no semiciclo negativo; (d) formas de onda de entrada, na carga e no diodo. |
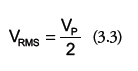
Para essa mesma forma de onda, o valor da tensão eficaz (medida por um voltímetro
True RMS) é dado por:
Obs.: a tensão eficaz é medida por um voltímetro True RMS AC + DC.
As expressões anteriores são verdadeiras quando o valor de pico é muito maior que 0,7 V; caso contrário, deve-se subtrair 0,7 V de VP . Nesse caso, os valores da tensão média e da tensão eficaz são calculados, respectivamente, por:








0 comentários:
Postar um comentário
Deixe seu coméntário